院内各班级:
williamhill英国官网党委2021下半年党员发展工作经过团支部推优,一年以上的入党积极分子培养,支部大会讨论及公司党委审查备案预审等程序,共确定周雯清等50名员工为2021年12月预备党员候选人,现在全院范围内进行公示。
公示时间为:2021年12月20日至2021年12月24日,如有异议,请于12月24日下午4点前以书面材料形式或电子邮件形式反馈至:
公司办公室(行政楼C505-2),电话:025-58099208
辅导员办公室(河海馆312),电话:025-83787814
电子邮箱:dyyzzy@hhu.edu.cn
附件:公司党委2021年12月发展预备党员名单
公司党委
2021年12月20日
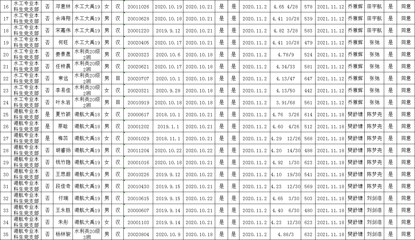
公司党委2021年12月发展预备党员名单




